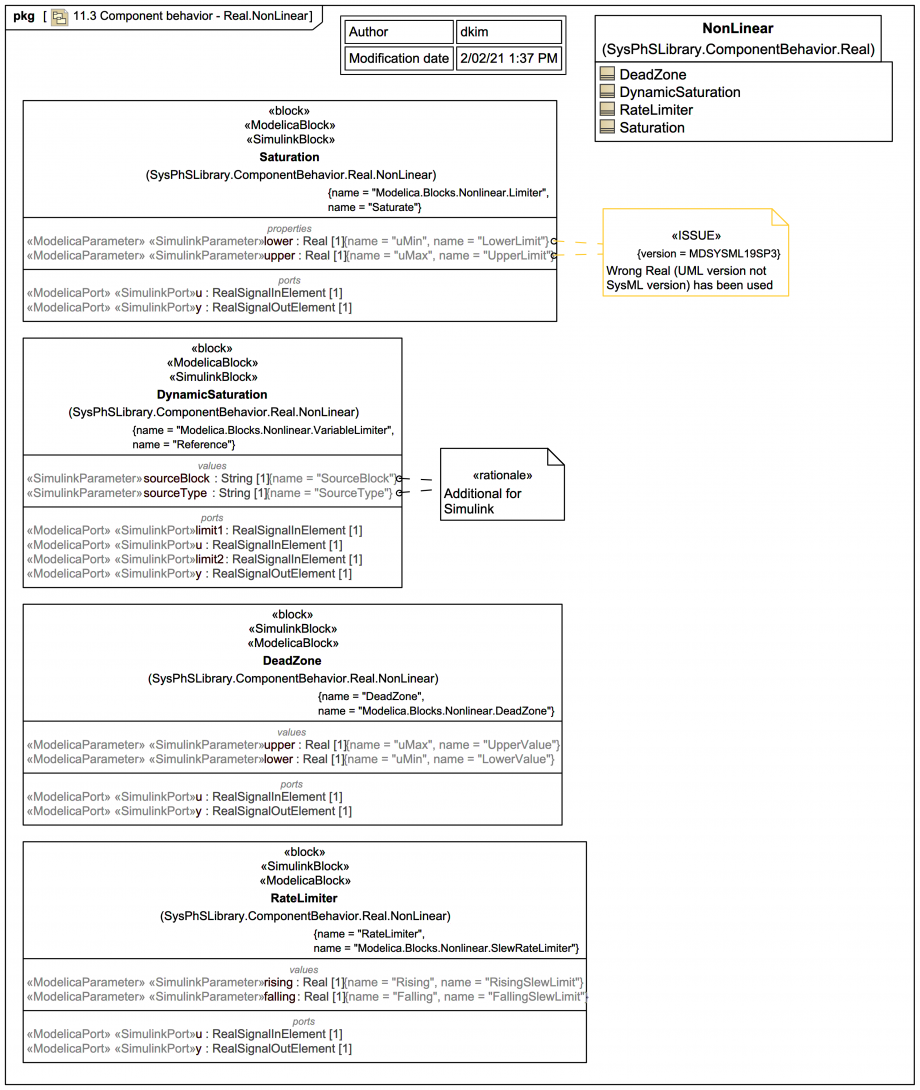
Gallery Tutorial TRAIL: SysPhS-1.1 specification body figures in MagicDraw/Cameo SysML vs Modelica [using Wolfram SystemsModeler] Section Tags and keywords Topic level INTERMEDIATE SysPhS Keywords Real.NonLinear.Saturation Real.NonLinear.DynamicSaturation Real.NonLinear.DeadZone Real.NonLinear.RateLimiter Modelica keywords Modelica.Blocks.Nonlinear.Limiter Modelica.Blocks.Nonlinear.VariableLimiter Modelica.Blocks.Nonlinear.DeadZone Modelica.Blocks.Nonlinear.SlewRateLimiter Keywords SysPhS MD SysML Cameo Systems Modeler Systems Modeling Language SysML Slide kind SysML Package Diagram The following diagram shows a Block Definition Diagram (BDD) style representation of MagicDraw/Cameo SysPhSLibrary components vs the SysPhS-1.1 spec table 11.3.2.4 Non-linear components: Click on the image to view it full size A minor tool library error: MDSysML/Cameo 19SP3: SysPhSLibrary vs SysPhS-1.1: NonLinear.Saturation: Wrong Real (UML version not SysML version) has been used for 'lower' and 'upper', so sorts in the 'properties' compartment instead of the 'values' compartment Up next 11.3 Component behavior - Real.Mathematical Notes [ISSUE] MDSysML/Cameo 19SP3: SysPhSLibrary vs SysPhS-1.1: NonLinear.Saturation: Wrong Real (UML version not SysML version) has been used for 'lower' and 'upper', so sorts in the 'properties' compartment instead of the 'values' compartment Snippets (quotes/extracts) Related slides (includes other tutorials) Related slides (backlinks, includes other tutorials) Visit also SysPhS-1.1 SysPhS zone (SysML Extension for Physical Interaction and Signal Flow Simulation) Visit also (backlinks) Flags Book traversal links for 11.3 Component behavior - Real.NonLinear Previous Up Next